2023 program builds on past success to prove the long-term reserve and resource potential at ELG
Toronto, Ontario–(Newsfile Corp. – February 26, 2024) – Torex Gold Resources Inc. (the “Company” or “Torex”) (TSX: TXG) is pleased to provide an update on the Company’s ongoing drilling program at ELG Underground, the results of which continue to support the Company’s strategy to extend and optimize the mine life of ELG Underground and fill the mill beyond 2027.
Jody Kuzenko, President & CEO of Torex, stated:
“The investment in our 2023 drilling program at ELG Underground continued to build on the positive results achieved year on year to grow the overall mineral endowment at ELG and unlock the significant cash generation potential of the Morelos asset. Drilling was successful in identifying a new zone of mineralization where the La Flaca fault intersects the El Limón Sur Trend near existing underground infrastructure. Highly positive drill results, including an outstanding intercept of 11.75 grams per tonne gold equivalent (“gpt AuEq”) over nearly 23 metres (“m”), further support the potential to bring mineralization in this area into a mineral resource estimate when the Company releases its year-end 2023 mineral reserve and resource update in March.
“Additionally, drilling carried out in the latter portion of 2023 extended higher-grade mineralization along the southern portion of the El Limón Sur Trend (29.88 gpt AuEq over 9.6 m) and further bolstered the mineralized potential at the 400 m level (5.53 gpt AuEq over 3.7 m), which is the deepest level drilled to date within this Trend. At the El Limón West Trend, drilling continues to support the potential for a new mining front, with mineralization open along strike and at depth, while drilling along the Sub-Sill and El Limón Deep Trends also extended mineralization outside of existing resources.
“The 2023 drilling program has reinforced our confidence in the ability to continue to grow resources and extend the reserve life of ELG Underground, all with a goal of filling the mill with higher-grade feed and maintaining annual gold equivalent production of +450,000 ounces beyond 20271.”
1) For additional information on Torex’s five-year production outlook, please refer to the Company’s press release dated January 16, 2024 titled “Torex Gold provides 2024 operational guidance and updated five-year production outlook”
HIGHLIGHTS
The final results of the 2023 exploration and drilling program at ELG Underground support potential reserve replacement and expansion of the mineralized footprint, indicating the potential to extend the life of ELG Underground beyond 2026. The Exploration Team has encountered untapped upside along the identified structural trends, many of which are in close proximity to existing underground infrastructure, which will allow investments made to date to be leveraged.
El Limón Sur Trend
- Drill hole LS-295 returned 29.88 gpt AuEq over 9.6 m, confirming the continuity of high-grade mineralization along the southern extension of the El Limón Sur Trend. This mineralization was encountered 30 m north of the previously reported high-grade intercept in drill hole LS-293 (20.74 gpt AuEq over 4.6 m), indicating potential for a high-grade zone that is open along trend to the south.
- Follow-up drilling to test the continuity of mineralization at the 400 m level encountered 5.53 gpt AuEq over 3.7 m in drill hole SST-318, more than 300 m south of the previously reported drill hole SST-299 (4.17 gpt AuEq over 3.7 m).
- Drilling targeting mineralization at the junction of the El Limón Sur Trend and La Flaca fault returned outstanding results. The best intercept was from drill hole LDUG-239 at 11.75 gpt AuEq over 22.9 m, located in an expanding new zone of mineralization measuring 400 m high by 400 m wide that includes multiple intercepts above 5.0 gpt AuEq. These findings indicate the potential to increase both Indicated and Inferred resources at year-end 2023. When considered in conjunction with the other drilling results in this area, this mineralization may also be open at depth to at least the 400 m elevation level, which is the deepest the drilling has been conducted to date within the El Limón Sur Trend.
El Limón Deep Trend
- Infill drilling along the El Limón Deep Trend continued to return high-grade intercepts, including 26.93 gpt AuEq over 3.6 m, 14.75 gpt AuEq over 37.1 m and 7.87 gpt AuEq over 6.4 m in drill hole LDUG-299, and 9.26 gpt AuEq over 3.4 m and 5.26 gpt AuEq over 6.8 m in drill hole LDUG-303. Drill hole LDUG-311 (10.21 gpt AuEq over 20.6 m and 6.21 gpt AuEq over 6.8 m) extended mineralization to the south and confirmed mineralization in this region plunges to the southwest.
Sub-Sill Trend
- Drilling confirmed the continuity of mineralization along the Sub-Sill Trend north of the La Flaca fault and encountered high-grade mineralization, including drill hole LDUG-238 which returned 9.65 gpt AuEq over 12.3 m. Importantly, these intercepts are located in close proximity to existing underground infrastructure.
El Limón West Trend
- Step-out drilling to the south along the El Limón West Trend encountered 13.73 gpt AuEq over 4.0 m and 11.92 gpt AuEq over 3.6 m in drill hole LS-290, expanding the mineralized footprint of the El Limón Sur pit to the south and reinforcing the high-grade potential at depth in this area.
- Follow-up drilling conducted near drill hole LS-229 (6.90 gpt AuEq over 3.4 m, previously reported) confirmed the continuity of mineralization 100 m to the south at the 550 m level, with drill hole LS-231 returning an intercept of 3.01 gpt AuEq over 3.1 m. Further work will be conducted to assess the mineralization potential at this depth northwest along trend towards the Z71 fault.
2023 ELG UNDERGROUND DRILLING PROGRAM
In 2023, 60,699 m across 248 holes were drilled as part of the ELG brownfield and near-mine exploration and drilling programs, achieving the target set for the year. Assay results have been returned for all holes drilled and will be reported with the Company’s year-end 2023 mineral reserve and resource update.

To view an enhanced version of this graphic, please visit:
https://images.newsfilecorp.com/files/1863/198062_ef8dc376b421bbd0_001full.jpg
A majority of this latest round of drilling was dedicated to delineating new resources within the most promising areas of the El Limón Sur Trend, where step-out drilling yielded high-grade results. Additionally, mineralization was extended both north and south along the Sub-Sill and El Limón West Trends.
As a result of this success, the 2024 program will focus on further exploring the northeast-trending structural corridors, with a particular focus on their intersections with La Flaca fault where the highest grades and volumes of mineralization are concentrated. Initial drilling efforts will test the depth extensions of these mineralized zones before exploring lateral continuity along the corridors. Approximately $12 million has been allocated to infill and step-out drilling (total of 54,500 m) at ELG Underground in 2024. The overall objective of the program continues to be the replacement of reserves and expansion of resources, all with the aim of continuing to extend the life of ELG Underground.
Detailed drill results are reported in Table 5 (El Limón Sur Trend), Table 6 (El Limón Deep Trend), Table 7 (Sub-Sill Trend), and Table 8 (El Limón West Trend).
Drill hole intercepts are core lengths and not true widths. AuEq grades use the same metal prices ($1,550/oz gold (“Au”), $20/oz silver (“Ag”), and $3.50/lb copper (“Cu”)) and metallurgical recoveries (90% Au, 86% Ag, and 93% Cu) used in the year-end 2022 mineral resource estimate for ELG Underground (AuEq (gpt) = Au (gpt) + Ag (gpt) * 0.0123 + Cu (%) * 1.6000).
EL LIMÓN SUR TREND (FIGURE 2)
Drilling along the El Limón Sur Trend in 2023 focused on expanding resources, particularly where the Trend intersects La Flaca fault above the 600 m elevation level. Results have been successful, with many intercepts exceeding 5.0 gpt AuEq with widths ranging from 3.0 m to 23.0 m, indicating the potential to add ounces to year-end 2023 mineral resources.
Of particular note, earlier results from the 2023 drilling program indicated the potential extension of this mineralized zone to a depth of 400 m. Newly reported drill hole SST-318 not only confirms the vertical continuity of mineralization, but also validates the extension of deeper mineralization within the El Limón Sur Trend south of the Z71 fault.
Table 1: Recent highlights from the 2023 drilling program along the El Limón Sur Trend
| Drill Hole | From (m) | To (m) | Core Length1 (m) | Au (gpt) | Ag (gpt) | Cu (%) | AuEq2 (gpt) |
| LS-295 | 262.31 | 271.88 | 9.57 | 27.95 | 44.3 | 0.86 | 29.88 |
| SST-318 | 622.29 | 626.00 | 3.71 | 4.83 | 13.4 | 0.33 | 5.53 |
| LDUG-239 | 177.16 | 200.07 | 22.91 | 10.94 | 12.0 | 0.41 | 11.75 |
| LDUG-291 | 332.00 | 338.00 | 6.00 | 4.11 | 26.1 | 1.90 | 7.47 |
| 405.95 | 410.00 | 4.05 | 4.57 | 17.0 | 0.83 | 6.11 | |
| LDUG-295 | 201.00 | 204.69 | 3.69 | 5.38 | 6.7 | 0.24 | 5.84 |
| LDUG-300 | 150.85 | 157.91 | 7.06 | 4.70 | 27.9 | 1.70 | 7.76 |
| LDUG-304 | 179.18 | 182.60 | 3.42 | 4.34 | 44.3 | 1.76 | 7.71 |
| LDUG-305 | 411.00 | 419.40 | 8.40 | 5.58 | 2.2 | 0.04 | 5.67 |
| LS-266 | 45.00 | 48.40 | 3.40 | 8.54 | 12.0 | 0.22 | 9.03 |
| LS-292 | 165.50 | 173.00 | 7.50 | 8.09 | 119.1 | 2.12 | 12.95 |
| LS-305 | 47.00 | 55.50 | 8.50 | 12.31 | 1.7 | 0.01 | 12.35 |
| SST-324 | 69.24 | 73.94 | 4.70 | 4.44 | 28.2 | 2.75 | 9.18 |
| SST-332 | 183.00 | 189.98 | 6.98 | 4.83 | 38.1 | 1.70 | 8.02 |
Notes to Table:
1) Intercepts are reported as core length (not true width/thickness). Core lengths reflect drilling core recovery.
2) The gold equivalent grade calculation used is as follows: AuEq (gpt) = Au (gpt) + Ag (gpt) * 0.0123 + Cu (%) * 1.6000 and use the same metal prices ($1,550/oz Au, $20/oz Ag, and $3.50/lb Cu) and metallurgical recoveries (90% Au, 86% Ag, and 93% Cu) used in the mineral resource estimate for ELG Underground.
Exploration at the southern known boundary of the El Limón Sur Trend also encountered high-grade mineralization, potentially expanding resources to the south and indicating that this mineralization may be plunging to the southeast. Drill hole LS-295, located 30 m north of the high-grade intercept previously encountered in drill hole LS-293, returned an intercept with AuEq grades close to one ounce per tonne over 9.6 m. This indicates the potential for a high-grade zone of mineralization along this Trend that is open to the south and at depth.
Furthermore, ongoing drill results in this area consistently returned impressive levels of copper mineralization, indicating the potential to enhance future copper production if proven as mineral reserves and once upgrades to the processing plant are completed later this year as part of the Media Luna Project.
EL LIMÓN DEEP TREND (FIGURE 3)
Infill drilling conducted along the northeast-trending structural corridor known as the El Limón Deep Trend returned several notable intercepts, indicating the potential to upgrade Inferred resources to the Indicated category with the year-end 2023 mineral resource update. A number of the latest drill holes, including LDUG-299 and LDUG-303, retuned multiple intercepts exceeding 5.0 gpt AuEq.
Step-out drilling targeting resource categorization extended mineralization at depth by approximately 200 m. Mineralization remains open at depth and further work will be conducted in 2024 to test the full extension of this Trend.
Drilling in this area also encountered high-grade mineralization such as drill hole LDUG-311, which returned 10.21 gpt AuEq over 20.6 m. This is comparable to the mineralized zone that follows the El Limón Sur Trend, a further indicator that the overall system is controlled by the intersection of north-south trending structural corridors with the northeast trending La Flaca fault.
Table 2: Highlights from the 2023 resource delineation program along the El Limón Deep Trend
| Drill Hole | From (m) | To (m) | Core Length1 (m) | Au (gpt) | Ag (gpt) | Cu (%) | AuEq2 (gpt) |
| LDUG-278 | 104.00 | 108.00 | 4.00 | 4.48 | 12.3 | 0.30 | 5.11 |
| LDUG-282 | 100.88 | 103.45 | 2.57 | 4.45 | 15.3 | 0.30 | 5.12 |
| LDUG-285 | 105.50 | 111.00 | 5.50 | 6.84 | 3.1 | 0.08 | 7.00 |
| LDUG-299 | 157.00 | 160.57 | 3.57 | 26.73 | 3.6 | 0.10 | 26.93 |
| 174.19 | 211.27 | 37.08 | 14.04 | 9.5 | 0.38 | 14.75 | |
| 229.65 | 236.04 | 6.39 | 7.28 | 10.2 | 0.29 | 7.87 | |
| LDUG-303 | 165.64 | 169.00 | 3.36 | 7.79 | 21.3 | 0.75 | 9.26 |
| 192.77 | 199.55 | 6.78 | 4.92 | 4.6 | 0.18 | 5.26 | |
| LDUG-311 | 262.00 | 282.57 | 20.57 | 8.22 | 29.2 | 1.02 | 10.21 |
| 293.35 | 300.10 | 6.75 | 2.56 | 46.9 | 1.92 | 6.21 | |
| LS-303 | 270.20 | 276.00 | 5.80 | 5.93 | 16.7 | 0.16 | 6.40 |
Notes to Table:
1) Intercepts are reported as core length (not true width/thickness). Core lengths reflect drilling core recovery.
2) The gold equivalent grade calculation used is as follows: AuEq (gpt) = Au (gpt) + Ag (gpt) * 0.0123 + Cu (%) * 1.6000 and use the same metal prices ($1,550/oz Au, $20/oz Ag, and $3.50/lb Cu) and metallurgical recoveries (90% Au, 86% Ag, and 93% Cu) used in the mineral resource estimate for ELG Underground.
SUB-SILL TREND (FIGURE 4)
One of the most significant findings along the Sub-Sill Trend was the continuation of mineralization north of the La Flaca fault. Drilling in this area encountered high-grade mineralization, confirming the exploration potential to the north, further enhanced by their proximity to existing underground infrastructure.
Additionally, between the La Flaca and Z71 faults, drilling in five holes confirmed the Inferred resources’ block model, with grades in three holes ranging from 4.0 to 6.0 gpt AuEq and thicknesses not exceeding 6.0 meters. Two holes did not encounter mineralization, thus confirming the geometry of this mineralized zone.
Finally, south of the Z71 fault, the exploratory hole SST-325 encountered mineralization along the southern extension of the Trend, indicating that the Trend remains open to the south.
Table 3: Highlights from the 2023 drilling program along the Sub-Sill Trend
| Drill Hole | From (m) | To (m) | Core Length1 (m) | Au (gpt) | Ag (gpt) | Cu (%) | AuEq2 (gpt) |
| LDUG-238 | 139.23 | 151.56 | 12.33 | 8.92 | 7.2 | 0.40 | 9.65 |
| LDUG-264 | 165.30 | 171.40 | 6.10 | 4.64 | 5.3 | 0.51 | 5.52 |
| LDUG-292 | 110.46 | 113.00 | 2.54 | 0.65 | 282.4 | 0.56 | 5.03 |
| LDUG-294 | 55.29 | 58.41 | 3.12 | 5.07 | 8.4 | 0.20 | 5.49 |
| SST-325 | 160.19 | 164.00 | 3.81 | 2.56 | 1.6 | 0.04 | 2.65 |
| SST-340 | 220.80 | 225.46 | 4.66 | 2.13 | 36.9 | 2.05 | 5.86 |
Notes to Table:
1) Intercepts are reported as core length (not true width/thickness). Core lengths reflect drilling core recovery.
2) The gold equivalent grade calculation used is as follows: AuEq (gpt) = Au (gpt) + Ag (gpt) * 0.0123 + Cu (%) * 1.6000 and use the same metal prices ($1,550/oz Au, $20/oz Ag, and $3.50/lb Cu) and metallurgical recoveries (90% Au, 86% Ag, and 93% Cu) used in the mineral resource estimate for ELG Underground.
EL LIMÓN WEST TREND (FIGURE 5)
Follow-up drilling along the El Limón West Trend was successful in confirming the continuity of mineralization to the south, most notably in drill hole LS-290, which returned multiple high-grade intercepts. Additionally, follow-up drilling conducted via hole LS-231, located 100 meters to the south of the previously reported intercept from LS-229, confirms the continuity of deeper mineralization identified in this zone. Drilling in this area continues to support the potential for a new mining front, with mineralization open along strike and at depth. Results indicate that mineralization is trending north towards the Z71 fault, a hypothesis that will be the focus of drilling in this area in 2024.
Table 4: Highlights from the 2023 drilling program along the El Limón West Trend
| Drill Hole | From (m) | To (m) | Core Length1 (m) | Au (gpt) | Ag (gpt) | Cu (%) | AuEq2 (gpt) |
| LS-290 | 101.00 | 105.00 | 4.00 | 11.78 | 140.4 | 0.14 | 13.73 |
| 168.00 | 171.55 | 3.55 | 10.07 | 36.5 | 0.87 | 11.92 | |
| LS-231 | 324.00 | 327.05 | 3.05 | 0.97 | 64.9 | 0.77 | 3.01 |
Notes to Table:
1) Intercepts are reported as core length (not true width/thickness). Core lengths reflect drilling core recovery.
2) The gold equivalent grade calculation used is as follows: AuEq (gpt) = Au (gpt) + Ag (gpt) * 0.0123 + Cu (%) * 1.6000 and use the same metal prices ($1,550/oz Au, $20/oz Ag, and $3.50/lb Cu) and metallurgical recoveries (90% Au, 86% Ag, and 93% Cu) used in the mineral resource estimate for ELG Underground.
GEOLOGY OF THE ELG MINE COMPLEX
The ELG Mine Complex, located in the central part of the Guerrero Gold Belt in southwest Mexico, is hosted in the Mesozoic carbonate-rich Morelos Platform, which has been intruded by Paleocene granodiorite stocks, sills, dikes and afterwards uplifted close to surface by maar-diatreme complexes.
Skarn-hosted gold mineralization develops along contacts of the intrusive rocks and carbonate-rich sedimentary rocks of the Cuautla and Morelos formations, as well as along the footwall contact of the Mezcala Formation. At depth, the mineralization has a strong structural control related to the main stages of deformation, with the collision of allochthonous terrain being responsible for the major north-south faults, while the almost east-west faulting is associated with the beginning of a subduction process.
Gold mineralization at ELG occurs in spatial association with a skarn body that was developed along a 2-kilometre-long corridor following the northeast contact of the ELG granodiorite stock. The skarn zone that occurs at the marble stratigraphic level of the Morelos Formation is in contact with hornfels developed in the Mezcala Formation. At El Limón, skarn mineralization is also structurally controlled by north-south and north-east trending faults. Early-stage deposition corresponds to skarn alteration and mineralization at ELG and is fairly typical of calcic gold-skarn systems. Zones of coarse, massive, garnet-dominant skarn appear within and along the stock margin, with fine-grained pyroxene-dominant skarn more common at greater distances from the contact with the stock. Significant gold mineralization at ELG is spatially associated with the skarn, preferentially occurring in pyroxene-rich exoskarn but also hosted in garnet-rich endoskarn that has been affected by retrograde alteration, which suggests that the most important gold event is late stage, strongly related to bismuth, and of epithermal origin.
Dykes and sills are found to crosscut the hornfels and marble, along the structural trends mentioned above, and are spatially associated with the skarn formation. In some cases, these are the ore controls of the main gold mineralization stage at depth.
The style of mineralization along the El Limón Deep, El Limón Sur, Sub-Sill, and El Limón West Trends is characterized by gold, with locally high silver and copper grades. Given that gold precipitates due to the buffer exerted by the early stage of calc-silicate alteration and sulfide mineralization, it is free and generally dissociated from the previous copper event mainly related to chalcopyrite.
QA/QC AND QUALIFIED PERSON
Torex maintains an industry-standard analytical quality assurance and quality control (QA/QC) and data verification program to monitor laboratory performance and ensure high-quality assays. Results from this program confirm reliability of the assay results. All sampling and analytical work for the mine exploration program is performed by SGS de Mexico S.A. de C.V. (“SGS”) in Durango, and by SGS at Minera Media Luna site facilities in Mexico. Gold analyses comprise fire assays with atomic absorption or gravimetric finish. External check assays for QA/QC purposes are performed at ALS Chemex de Mexico S.A. de C.V.
The analytical QA/QC program is currently overseen by Carlo Nasi, Chief Mine Geologist for Minera Media Luna, S.A. de C.V.
Scientific and technical data contained in this news release has been reviewed and approved by Carolina Milla, P.Eng. Ms. Milla is a member of the Association of Professional Engineers and Geoscientists of Alberta (Member ID #168350), has experience relevant to the style of mineralization under consideration, is a qualified person under NI 43-101, and is an employee of Torex. Ms. Milla has verified the data disclosed, including sampling, analytical, and test data underlying the drill results; verification included visually reviewing the drill holes in three dimensions, comparing the assay results to the original assay certificates, reviewing the drilling database, and reviewing core photography consistent with standard practice. Ms. Milla consents to the inclusion in this release of said data in the form and context in which they appear.
Additional information on the ELG Underground, sampling and analyses, analytical labs, and methods used for data verification is available in the Company’s technical report entitled the “Morelos Property, NI 43-101 Technical Report, ELG Mine Complex Life of Mine Plan and Media Luna Feasibility Study, Guerrero State, Mexico”, dated effective March 16, 2022 filed on March 31, 2022 (the “2022 Technical Report”) and in the annual information form (“AIF”) dated March 30, 2023, each filed on SEDAR+ at www.sedarplus.ca and the Company’s website at www.torexgold.com.
ABOUT TOREX GOLD RESOURCES INC.
Torex is an intermediate gold producer based in Canada, engaged in the exploration, development, and operation of its 100% owned Morelos Property, an area of 29,000 hectares in the highly prospective Guerrero Gold Belt located 180 kilometres southwest of Mexico City. The Company’s principal asset is the Morelos Complex, which includes the El Limón Guajes (“ELG”) Mine Complex, the Media Luna Project, a processing plant, and related infrastructure. Commercial production from the Morelos Complex commenced on April 1, 2016 and an updated Technical Report for the Morelos Complex was released in March 2022. Torex’s key strategic objectives are to optimize and extend production from the ELG Mine Complex, de-risk and advance Media Luna to commercial production, build on ESG excellence, and to grow through ongoing exploration across the entire Morelos Property.
FOR FURTHER INFORMATION, PLEASE CONTACT:
TOREX GOLD RESOURCES INC.
Jody Kuzenko
President and CEO
Direct: (647) 725-9982
[email protected]
Dan Rollins
Senior Vice President, Corporate Development & Investor Relations
Direct: (647) 260-1503
[email protected]
CAUTIONARY NOTES ON FORWARD-LOOKING STATEMENTS
This press release contains “forward-looking statements” and “forward-looking information” within the meaning of applicable Canadian securities legislation. Forward-looking information also includes, but is not limited to, statements about: 2023 program builds on past success to prove the long-term reserve and resource potential at ELG; the results of ongoing drilling program at ELG Underground continue to support the Company’s strategy to extend and optimize the mine life of ELG Underground and fill the mill beyond 2027; the investment in the Company’s 2023 drilling program at ELG Underground continued to build on the positive results achieved year on year to grow the overall mineral endowment at ELG and unlock the significant cash generation potential of the Morelos asset; highly positive drill results, including an outstanding intercept of 11.75 grams per tonne gold equivalent (“gpt AuEq”) over nearly 23 metres (“m”), further support the potential to bring mineralization in this area into a mineral resource estimate when the Company releases its year-end 2023 mineral reserve and resource update in March; additionally, drilling carried out in the latter portion of 2023 extended higher-grade mineralization along the southern portion of the El Limón Sur Trend (29.88 gpt AuEq over 9.6 m) and further bolstered the mineralized potential at the 400 m level (5.53 gpt AuEq over 3.7 m); at the El Limón West Trend, drilling continues to support the potential for a new mining front, with mineralization open along strike and at depth; the 2023 drilling program has reinforced the Company’s confidence in the ability to continue to grow resources and extend the reserve life of ELG Underground, all with a goal of filling the mill with higher grade feed and maintaining annual gold equivalent production of +450,000 ounces beyond 2027; the final results from the 2023 exploration and drilling program at ELG Underground support potential reserve replacement and expansion of the mineralized footprint, indicating the potential to extend the life of the ELG Underground beyond 2026; exploration teams have encountered untapped upside along the identified structural trends, many of which are in close proximity to existing underground infrastructure, which will allow investments made to date to be leveraged; the high-grade mineralization of El Limon Sur Trend drill hole LS-295 was encountered 30 m north of the previously reported high-grade intercept in drill hole LS-293 (20.74 gpt AuEq over 4.6 m), indicating potential for a high-grade zone that is open along trend to the south; the findings from drilling targeting mineralization at the junction of the El Limón Sur Trend and La Flaca fault indicate the potential to increase both Indicated and Inferred resources at year-end 2023; when considered in conjunction with the other drilling results in this area, this mineralization may also be open at depth, to at least the 400 m elevation level, which is the deepest the drilling has been conducted to date within the El Limón Sur Trend; step-out drilling to the south along the El Limón West Trend encountered 13.73 gpt AuEq over 4.0 m and 11.92 gpt AuEq over 3.6 m in drill hole LS-290, expanding the mineralized footprint of the El Limón Sur pit to the south and reinforcing the high-grade potential at depth in this area; the overall objective of the 2024 drill program continues to be the replacement of reserves and expansion of resources, all with the aim of continuing to extend the life of ELG Underground; the results of drilling along the El Limón Sur Trend in 2023, particularly where the Trend intersects La Flaca fault above the 600 m elevation level, have been successful, with many intercepts exceeding 5.0 gpt AuEq with widths ranging from 3.0 m to 23.0 m, indicating the potential to add ounces to year-end 2023 mineral resources; of particular note, earlier results from the 2023 drilling program indicated the potential extension of this mineralized zone to a depth of 400 m.; exploration at the southern known boundary of the El Limón Sur Trend also encountered high-grade mineralization, potentially expanding resources to the south and indicating that this mineralization may be plunging to the southeast; infill drilling conducted along the northeast-trending structural corridor known as the El Limón Deep Trend returned several notable intercepts, indicating the potential to upgrade Inferred resources to the Indicated category with the year-end 2023 mineral resource update; mineralization remains open at depth and further work will be conducted in 2024 to test the full extension of this Trend; south of the Z71 fault, the exploratory hole SST-325 encountered mineralization along the southern extension of the Trend, indicating that the Trend remains open to the south; regarding El Limón West Trend, drilling in this area continues to support the potential for a new mining front, with mineralization open along strike and at depth; results indicate that mineralization is trending north towards the Z71 fault, a hypothesis that will be the focus of drilling in this area in 2024; and Torex’s key strategic objectives are to optimize and extend production from the ELG Mine Complex, de-risk and advance Media Luna to commercial production, build on ESG excellence, and to grow through ongoing exploration across the entire Morelos Property. Generally, forward-looking information can be identified by the use of forward-looking terminology such as “objective”, “strategy”, “target”, “continue”, “potential”, “focus”, “demonstrate”, “aim” or variations of such words and phrases or statements that certain actions, events or results “will”, “would”, or “is expected to” occur. Forward-looking information is subject to known and unknown risks, uncertainties and other factors that may cause the actual results, level of activity, performance or achievements of the Company to be materially different from those expressed or implied by such forward-looking information, including, without limitation, risks and uncertainties associated with: the ability to upgrade mineral resources categories of mineral resources with greater confidence levels or to mineral reserves; risks associated with mineral reserve and mineral resource estimation; uncertainty involving skarn deposits; and those risk factors identified in the Technical Report and the Company’s annual information form and management’s discussion and analysis or other unknown but potentially significant impacts. Forward-looking information is based on the assumptions discussed in the Technical Report and such other reasonable assumptions, estimates, analysis and opinions of management made in light of its experience and perception of trends, current conditions and expected developments, and other factors that management believes are relevant and reasonable in the circumstances at the date such statements are made. Although the Company has attempted to identify important factors that could cause actual results to differ materially from those contained in the forward-looking information, there may be other factors that cause results not to be as anticipated. There can be no assurance that such information will prove to be accurate, as actual results and future events could differ materially from those anticipated in such information. Accordingly, readers should not place undue reliance on forward-looking information. The Company does not undertake to update any forward-looking information, whether as a result of new information or future events or otherwise, except as may be required by applicable securities laws. The Technical Report, AIF and MD&A are filed on SEDAR+ at www.sedarplus.ca and the Company’s website at www.torexgold.com.

To view an enhanced version of this graphic, please visit:
https://images.newsfilecorp.com/files/1863/198062_ef8dc376b421bbd0_002full.jpg

To view an enhanced version of this graphic, please visit:
https://images.newsfilecorp.com/files/1863/198062_ef8dc376b421bbd0_003full.jpg

To view an enhanced version of this graphic, please visit:
https://images.newsfilecorp.com/files/1863/198062_ef8dc376b421bbd0_004full.jpg

To view an enhanced version of this graphic, please visit:
https://images.newsfilecorp.com/files/1863/198062_ef8dc376b421bbd0_005full.jpg
Table 5: Drill results testing mineralization extensions along the El Limón Sur Trend

Table 5: Drill results testing mineralization extensions along the El Limón Sur Trend (continued)

Table 5: Drill results testing mineralization extensions along the El Limón Sur Trend (continued)

Notes to Table
1) Intercepts are core lengths and do not represent true thickness of mineralized zones.
2) Core lengths subject to rounding.
3) Torex is not aware of any drilling, sampling, recovery, or other factors that could materially affect the accuracy or reliability of the data.
4) Gold equivalent (“AuEq”) grades use the same metal prices ($1,550/oz gold (“Au”), $20/oz silver (“Ag”) and $3.50/lb copper (“Cu”)) and metallurgical recoveries (90% Au, 86% Ag and 93% Cu) used in the Mineral Resource estimate for ELG Underground (AuEq (gpt) = Au (g/t) + Ag (gpt) * 0.0123 + Cu (%) * 1.6000).
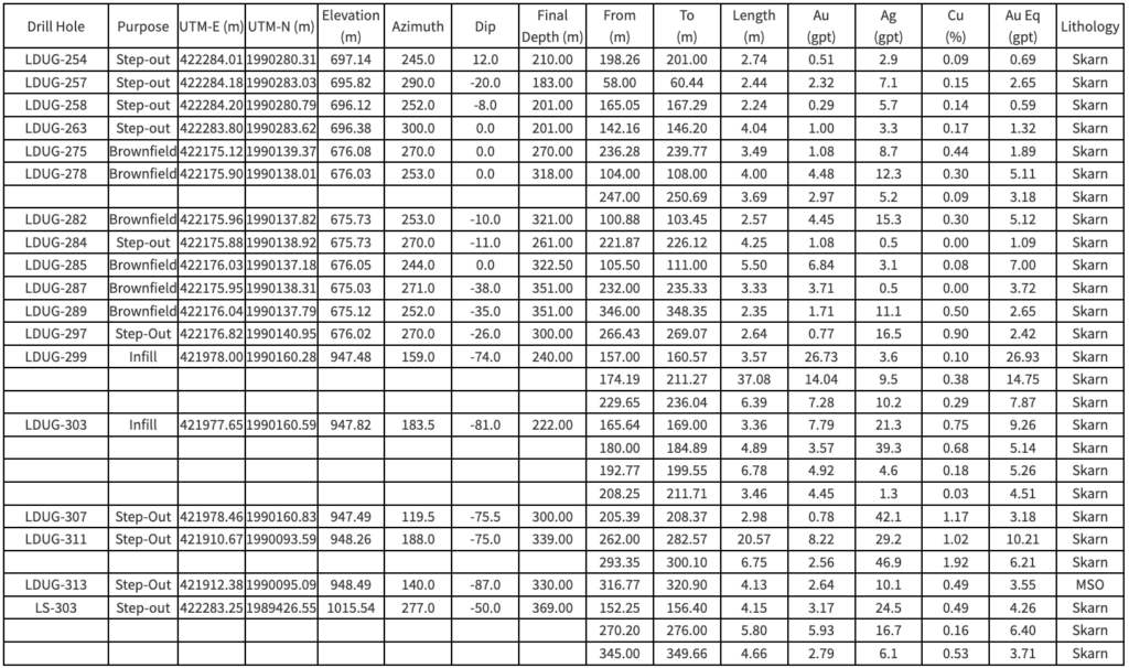
Table 6: Drill results from infill and step-out drilling at depth along the El Limón Deep Trend

Notes to Table
1) Intercepts are core lengths and do not represent true thickness of mineralized zones.
2) Core lengths subject to rounding.
3) Torex is not aware of any drilling, sampling, recovery, or other factors that could materially affect the accuracy or reliability of the data.
4) Gold equivalent (“AuEq”) grades use the same metal prices ($1,550/oz gold (“Au”), $20/oz silver (“Ag”) and $3.50/lb copper (“Cu”)) and metallurgical recoveries (90% Au, 86% Ag and 93% Cu) used in the Mineral Resource estimate for ELG Underground (AuEq (gpt) = Au (g/t) + Ag (gpt) * 0.0123 + Cu (%) * 1.6000).
Table 7: Drill results from step-out drilling at depth and to the north along the Sub-Sill Trend

Notes to Table
1) Intercepts are core lengths and do not represent true thickness of mineralized zones.
2) Core lengths subject to rounding.
3) Torex is not aware of any drilling, sampling, recovery, or other factors that could materially affect the accuracy or reliability of the data.
4) Gold equivalent (“AuEq”) grades use the same metal prices ($1,550/oz gold (“Au”), $20/oz silver (“Ag”) and $3.50/lb copper (“Cu”)) and metallurgical recoveries (90% Au, 86% Ag and 93% Cu) used in the Mineral Resource estimate for ELG Underground (AuEq (gpt) = Au (g/t) + Ag (gpt) * 0.0123 + Cu (%) * 1.6000).
Table 8: Drill results from brownfield drilling program along the El Limón West Trend

Notes to Table
1) Intercepts are core lengths and do not represent true thickness of mineralized zones.
2) Core lengths subject to rounding.
3) Torex is not aware of any drilling, sampling, recovery, or other factors that could materially affect the accuracy or reliability of the data.
4) Gold equivalent (“AuEq”) grades use the same metal prices ($1,550/oz gold (“Au”), $20/oz silver (“Ag”) and $3.50/lb copper (“Cu”)) and metallurgical recoveries (90% Au, 86% Ag and 93% Cu) used in the Mineral Resource estimate for ELG Underground (AuEq (gpt) = Au (g/t) + Ag (gpt) * 0.0123 + Cu (%) * 1.6000).
Original Article: https://www.newsfilecorp.com/release/198062


















