Vancouver, British Columbia–(Newsfile Corp. – January 23, 2025) – First Majestic Silver Corp. (NYSE: AG) (TSX: AG) (FSE: FMV) (the “Company” or “First Majestic”) is pleased to announce positive drilling results from its comprehensive 2024 exploration program at its San Dimas Silver and Gold Mine in Durango, Mexico. The 2024 drilling program intersected significant silver and gold mineralization in multiple veins across the San Dimas property. The drilling results successfully expanded Mineral Resources and will convert Inferred Mineral Resources to Indicated Mineral Resources, and ultimately to Mineral Reserves.
“At the beginning of the year we planned a robust exploration program at our San Dimas mine which has returned impressive results,” stated Keith Neumeyer, President & CEO of First Majestic. “Our exploration teams have completed approximately 113,000 metres of drilling within the district and have intersected significant silver and gold mineralization in multiple veins. Through the process of successfully converting Inferred to Indicated Resources at the Perez and Sinaloa-Elia veins, the program derisked mineralization for mining in 2025 and 2026.”
SAN DIMAS DRILLING HIGHLIGHTS:
Select highlights from the Company’s 2024 exploration program includes the following high-grade silver and gold intercepts:
Perez Vein Highlights (true width):
- PE24_397: 10.03 g/t Au and 1,996 g/t Ag over 3.65 metres (“m”);
- PE24_343: 6.28 g/t Au and 1,001 g/t Ag over 2.30 m;
- PE23_328: 3.66 g/t Au and 485 g/t Ag over 3.14 m;
- PE24_346: 2.00 g/t Au and 309 g/t Ag over 5.06 m.
Sinaloa-Elia Vein System Highlights (true width):
- SIN24_120: 23.33 g/t Au and 1,045 g/t Ag over 1.31 m;
- SIN24_106: 6.61 g/t Au and 501 g/t Ag over 2.97 m;
- SIN24_109: 10.91 g/t Au and 796 g/t Ag over 1.69 m;
- SIN24_103: 8.31 g/t Au and 507 g/t Ag over 1.64 m.
Santa Teresa Vein Highlights (true width):
- ST24_067: 10.02 g/t Au and 359 g/t Ag over 3.41 m;
- ST24_051: 3.11 g/t Au and 166 g/t Ag over 5.86 m;
- ST24_065: 13.53 g/t Au and 211 g/t Ag over 1.69 m.
Jessica East Vein Highlights (true width):
- SJE24_480: 2.22 g/t Au and 422 g/t Ag over 0.75 m;
- SJE24_479: 2.27 g/t Au and 223 g/t Ag over 0.78 m.
SAN DIMAS EXPLORATION RESULTS
Exploration drilling at San Dimas intersected significant silver and gold mineralization in multiple veins. Results from four of the veins are highlighted here: Perez, Sinaloa-Elia, Santa Teresa and Jessica East (Figure 1).

Figure 1: San Dimas District Vein Occurrence Map and Highlighted Target Areas
To view an enhanced version of this graphic, please visit:
https://images.newsfilecorp.com/files/1475/238178_bf5dd34be45d5ae3_002full.jpg
Exploration drilling of the Perez vein extended silver and gold mineralization up-dip in the west-central portion of the vein and converted Inferred to Indicated resources refining vein width and grades. This process derisked mineralization that will be mined during 2025 and 2026. The Perez vein potential remains open to the east and to the west (Figure 2). Select drill hole assay grades and true width intervals of the Perez vein intersections are highlighted below:
- PE24_397: 10.03 g/t Au and 1,996 g/t Ag over 3.65 m;
- PE24_343: 6.28 g/t Au and 1,001 g/t Ag over 2.30 m;
- PE23_328: 3.66 g/t Au and 485 g/t Ag over 3.14 m;
- PE24_346: 2.00 g/t Au and 309 g/t Ag over 5.06 m.
At the historic Sinaloa-Elia vein system located in the western portion of the property, drilling intersected several intervals of silver and gold mineralization. Resource conversion drilling confirmed and further delineated mineralization below the Sinaloa vein with several intersections returning better than expected values. Results also reveal that the mineralization is open to the west for potential Mineral Resource expansion. Follow-up expansionary drilling below historic mine excavations at Elia confirmed the presence of down-dip extension potential with some results initially reported in June 2024 (Figure 3). Select drill hole assay grades and true width intervals of the Sinaloa-Elia vein system intersections are highlighted below:
- SIN24_120: 23.33 g/t Au and 1,045 g/t Ag over 1.31 m;
- SIN24_106: 6.61 g/t Au and 501 g/t Ag over 2.97 m;
- SIN24_109: 10.91 g/t Au and 796 g/t Ag over 1.69 m;
- SIN24_103: 8.31 g/t Au and 507 g/t Ag over 1.64 m;
- EL24_280: 2.52 g/t Au and 182 g/t Ag over 1.26m.
Expansionary drilling of the Santa Teresa vein has returned significant intercepts both in eastern and western unexplored projection of the vein. Drilling followed up on results reported in June 2024 and confirmed vein continuity and silver and gold mineralization; there is, to the west, approximately 1 kilometres of strike length of open potential (Figure 4). Select drill hole assay grades and true width intervals of the Santa Teresa vein intersections are highlighted below:
- ST24_067: 10.02 g/t Au and 359 g/t Ag over 3.41 m;
- ST24_051: 3.11 g/t Au and 166 g/t Ag over 5.86 m;
- ST24_065: 13.53 g/t Au and 211 g/t Ag over 1.69 m.
A review of exploration upside on major past producing veins has identified multiple targets and opportunities for further mineral resource expansion along strike and up and down-dip. Initial drilling on the eastern projection of the Jessica vein (one of the historic top 5 past producing veins in the district) has intersected veins and returned two encouraging results separated by ~250 m; drilling continues to test the area (Figure 5).
- SJE24_480: 2.22 g/t Au and 422 g/t Ag over 0.75 m;
- SJE24_479: 2.27 g/t Au and 223 g/t Ag over 0.78 m.

Figure 2: Perez Vein Vertical Long Section Looking North
To view an enhanced version of this graphic, please visit:
https://images.newsfilecorp.com/files/1475/238178_bf5dd34be45d5ae3_003full.jpg

Figure 3: Sinaloa-Elia Vein System Vertical Long Section Looking North
To view an enhanced version of this graphic, please visit:
https://images.newsfilecorp.com/files/1475/238178_bf5dd34be45d5ae3_004full.jpg

Figure 4: Santa Teresa Vein Vertical Long Section Looking North
To view an enhanced version of this graphic, please visit:
https://images.newsfilecorp.com/files/1475/238178_bf5dd34be45d5ae3_005full.jpg

Figure 5: Santa Jessica Vein Vertical Grade x Thickness Long Section Looking North
To view an enhanced version of this graphic, please visit:
https://images.newsfilecorp.com/files/1475/238178_bf5dd34be45d5ae3_006full.jpg
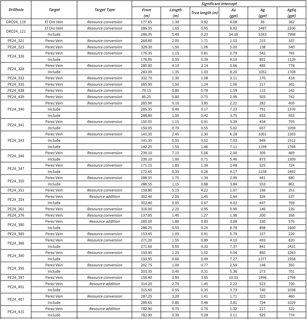
Table 1: Summary of Significant Silver and Gold Drill Hole Intercepts at San Dimas



Notes:
- All holes are Diamond Drill; AgEq grade = silver grade (g/t) + [gold grade (g/t)*80].
- From and Length indicated in metres, true width of the intercept is calculated per drill hole and vein angles.
- See Appendix for details regarding drill hole locations, sample type, azimuth, dip and total depth.
- Where present, single samples or intercepts with assay results higher than 700 g/t AgEq are highlighted as “Include” in each intercept.
At San Dimas, silver and gold drill hole intercepts were composited using the length weighted averages of uncapped sample assays, a 215 g/t AgEq minimum grade, and a minimum composite length of 0.7 m (true width). A maximum one metre below the minimum grade was allowed as internal dilution and a single sample below the minimum but above 100 g/t AgEq was allowed in the hanging or footwall to achieve minimum true width in select cases. True width of intercepts is calculated based on current understanding of drill hole and vein angle geometry. All individual samples or intercepts higher than 700 g/t AgEq are reported as “include”.
First Majestic’s drilling programs follow established QA/QC insertion protocols with standards, blanks and duplicates introduced to the sample stream and submission of check duplicates to an independent third-party laboratory. After geological logging, all drill core samples are cut in half. One half of the core is submitted to the laboratory for analysis and the remaining half is retained on-site for verification and reference purposes.
Core samples were submitted to First Majestic’s owned and operated Central Laboratory (ISO 9001:2015).
At the Central Lab, gold is analyzed by fire assay with atomic absorption finish (Au-AA13), and by fire assay gravimetric finish (ASAG-13-Au, ASAG-15-Au). Results above 10 g/t gold are analyzed by 30 g fire assay gravimetric finish (ASAG-14). Silver is analyzed by 3-Acid digest atomic absorption finish (AAG-13) or by 30 g fire assay gravimetric finish (ASAG-13-Ag). Results above 200 g/t silver are analyzed by 30 g fire assay gravimetric finish (ASAG-14).
For further information concerning QA/QC and data verification matters, key assumptions, parameters, and methods used by the Company to estimate Mineral Reserves and Mineral Resources, and for a detailed description of known legal, political, environmental, and other risks that could materially affect the Company’s business and the potential development of Mineral Reserves and Mineral Resources, see the Company’s most recent Annual Information Form available at www.sedarplus.ca.
QUALIFIED PERSON
Gonzalo Mercado, P. Geo., the Company’s Vice President of Exploration and Technical Services and a “Qualified Person” as defined under National Instrument 43-101 Standards of Disclosure for Mineral Projects (“NI 43-101”), has reviewed and approved the scientific and technical information contained in this news release. Mr. Mercado has verified the exploration data contained in this news release, including the sampling, analytical and test data underlying such information.
ABOUT FIRST MAJESTIC
First Majestic is a publicly traded mining company focused on silver and gold production in Mexico and the United States. The Company presently owns and operates four producing underground mines in Mexico: the Cerro Los Gatos Silver Mine (the Company holds a 70% interest in the Los Gatos Joint Venture that owns the mine), the Santa Elena Silver/Gold Mine, the San Dimas Silver/Gold Mine, and the La Encantada Silver Mine, as well as a portfolio of development and exploration assets, including the Jerritt Canyon Gold project located in northeastern Nevada, U.S.A.
First Majestic is proud to own and operate its own minting facility, First Mint, LLC, and to offer a portion of its silver production for sale to the public. Bars, ingots, coins and medallions are available for purchase online at www.firstmint.com, at some of the lowest premiums available.
For further information, contact [email protected] visit our website at www.firstmajestic.com or call our toll-free number 1.866.529.2807.
FIRST MAJESTIC SILVER CORP.
“signed”
Keith Neumeyer, President & CEO
Cautionary Note Regarding Forward-Looking Statements
This news release contains “forward‐looking information” and “forward-looking statements” under applicable Canadian and U.S. securities laws (collectively, “forward‐looking statements”). These statements relate to future events or the Company’s future performance, business prospects or opportunities that are based on forecasts of future results, estimates of amounts not yet determinable and assumptions of management made in light of management’s experience and perception of historical trends. Assumptions may prove to be incorrect and actual results and future events may differ materially from those anticipated. Any statements that express or involve discussions with respect to predictions, expectations, beliefs, plans, projections, objectives or future events or performance (often, but not always, using words or phrases such as “seek”, “anticipate”, “plan”, “continue”, “estimate”, “expect”, “may”, “will”, “project”, “predict”, “forecast”, “potential”, “target”, “intend”, “could”, “might”, “should”, “believe” and similar expressions) are not statements of historical fact and may be “forward‐looking statements”.
Forward-Looking statements are subject to known and unknown risks, uncertainties and other factors that may cause actual results to materially differ from those expressed or implied by such forward-looking statements, including but not limited to: material adverse changes, unexpected changes in laws, rules or regulations, or their enforcement by applicable authorities; the failure of parties to contracts with the company to perform as agreed; social or labour unrest; changes in commodity prices; and the failure of exploration programs or studies to deliver anticipated results or results that would justify and support continued exploration, studies, development or operations. Although the Company has attempted to identify important factors that could cause actual results to differ materially from those contained in forward-looking statements, there may be other factors that cause results not to be as anticipated, estimated or intended.
The Company believes that the expectations reflected in these forward‐looking statements are reasonable, but no assurance can be given that these expectations will prove to be correct and such forward‐looking statements included herein should not be unduly relied upon. These statements speak only as of the date hereof. The Company does not intend, and does not assume any obligation, to update these forward-looking statements, except as required by applicable laws.
Cautionary Note to United States Investors
The Company is a “foreign private issuer” as defined in Rule 3b-4 under the United States Securities Exchange Act of 1934, as amended, and is eligible to rely upon the Canada-U.S. Multi-Jurisdictional Disclosure System, and is therefore permitted to prepare the technical information contained herein in accordance with the requirements of the securities laws in effect in Canada, which differ from the requirements of the securities laws currently in effect in the United States. Accordingly, information concerning mineral deposits set forth herein may not be comparable with information made public by companies that report in accordance with U.S. standards.
Technical disclosure contained in this news release has not been prepared in accordance with the requirements of United States securities laws and uses terms that comply with reporting standards in Canada with certain estimates prepared in accordance with NI 43-101.
NI 43-101 is a rule developed by the Canadian Securities Administrators that establishes standards for all public disclosure an issuer makes of scientific and technical information concerning the issuer’s material mineral projects.
APPENDIX – DRILL HOLE DETAILS
Table A1: Drill Hole Location, Sample Type, Azimuth, Dip and Total Depth
| Drillhole | East | North | Elevation | Azimuth | Dip | Depth (m) | Type |
| ORO24_119 | 404186.83 | 2665505.57 | 510.27 | 311.6 | 30.9 | 216 | Core |
| ORO24_121 | 404186.74 | 2665505.13 | 510.02 | 288.2 | 26.4 | 315 | Core |
| PE24_321 | 398694.94 | 2671241.80 | 830.57 | 300.1 | 28.2 | 297 | Core |
| PE24_323 | 399018.62 | 2671353.55 | 843.81 | 307.7 | 31.9 | 351 | Core |
| PE24_326 | 399314.32 | 2671669.98 | 858.42 | 2.5 | -21.4 | 210 | Core |
| PE24_328 | 398695.08 | 2671241.42 | 830.03 | 293.7 | 27.2 | 300 | Core |
| PE24_332 | 399018.67 | 2671353.57 | 844.03 | 302.2 | 31.1 | 360 | Core |
| PE24_335 | 398695.09 | 2671241.80 | 830.97 | 310.9 | 35.1 | 297 | Core |
| PE24_340 | 398695.30 | 2671241.54 | 830.25 | 289.2 | 24.4 | 300 | Core |
| PE24_341 | 399311.20 | 2671668.72 | 858.31 | 287.7 | -19.3 | 186 | Core |
| PE24_343 | 399311.94 | 2671669.24 | 858.49 | 311.4 | -15.9 | 183 | Core |
| PE24_346 | 398695.49 | 2671242.10 | 831.10 | 318.7 | 37.0 | 276 | Core |
| PE24_347 | 399310.90 | 2671668.67 | 858.76 | 286.5 | -3.0 | 192 | Core |
| PE24_350 | 398694.79 | 2671240.95 | 830.13 | 281.1 | 19.7 | 297 | Core |
| PE24_351 | 399311.90 | 2671669.25 | 858.83 | 304.0 | -2.5 | 195 | Core |
| PE24_354 | 398693.94 | 2671240.38 | 830.16 | 278.1 | 18.9 | 309 | Core |
| PE24_361 | 398693.86 | 2671240.07 | 829.88 | 269.8 | 12.4 | 324 | Core |
| PE24_376 | 399312.88 | 2671669.69 | 858.02 | 325.9 | -33.0 | 198 | Core |
| PE24_380 | 398695.57 | 2671242.02 | 831.19 | 316.2 | 38.1 | 303 | Core |
| PE24_385 | 399312.57 | 2671669.59 | 858.03 | 334.0 | -43.9 | 186 | Core |
| PE24_386 | 398694.60 | 2671241.53 | 830.66 | 296.9 | 25.1 | 285 | Core |
| PE24_390 | 399311.77 | 2671669.19 | 858.76 | 310.7 | -7.5 | 171 | Core |
| PE24_395 | 399313.36 | 2671669.84 | 859.01 | 343.1 | 2.0 | 231 | Core |
| PE24_397 | 399310.90 | 2671668.67 | 858.76 | 294.4 | -8.4 | 178 | Core |
| PE24_401 | 398695.61 | 2671242.10 | 831.31 | 319.3 | 42.6 | 329 | Core |
| PE24_407 | 399314.86 | 2671669.38 | 858.98 | 8.0 | 0.1 | 327 | Core |
| PE24_438 | 398730.79 | 2671362.25 | 935.27 | 353.9 | 1.4 | 108 | Core |
| PE24_439 | 398731.26 | 2671362.21 | 935.25 | 5.3 | 0.4 | 90 | Core |
| PE24_447 | 398731.28 | 2671361.78 | 937.17 | 339.6 | 41.5 | 190 | Core |
| PE24_448 | 398732.89 | 2671361.92 | 936.21 | 27.0 | 20.5 | 189 | Core |
| PE24_451 | 398731.78 | 2671361.91 | 936.75 | 2.5 | 35.3 | 207 | Core |
| PE24_456 | 398732.09 | 2671362.23 | 934.82 | 21.4 | -22.2 | 120 | Core |
| SIN24_103 | 399888.71 | 2666329.74 | 561.72 | 311.5 | -20.8 | 369 | Core |
| SIN24_104 | 399888.29 | 2666329.06 | 561.58 | 305.6 | -12.2 | 318 | Core |
| SIN24_105 | 399888.37 | 2666329.16 | 561.39 | 298.8 | -15.8 | 375 | Core |
| SIN24_106 | 399888.28 | 2666329.14 | 561.56 | 297.5 | -8.5 | 342 | Core |
| SIN24_108 | 399888.31 | 2666329.19 | 561.47 | 297.5 | -12.6 | 360 | Core |
| SIN24_109 | 399888.40 | 2666329.09 | 561.76 | 291.6 | -2.3 | 329 | Core |
| SIN24_110 | 399888.35 | 2666329.01 | 561.60 | 291.3 | -9.0 | 357 | Core |
| SIN24_114 | 399888.23 | 2666327.97 | 561.40 | 294.2 | -15.5 | 381 | Core |
| SIN24_117 | 399740.06 | 2666103.84 | 562.85 | 308.3 | -9.5 | 498 | Core |
| SIN24_118 | 399888.68 | 2666329.41 | 561.24 | 304.5 | -23.9 | 403 | Core |
| SIN24_120 | 399739.93 | 2666103.68 | 562.89 | 294.8 | -6.7 | 525 | Core |
| SIN24_124 | 399739.55 | 2666103.91 | 562.76 | 300.6 | -10.2 | 501 | Core |
| SIN24_125 | 399888.13 | 2666327.64 | 561.54 | 278.3 | -11.0 | 405 | Core |
| EL24_280 | 400316.27 | 2667086.85 | 548.98 | 187.0 | -38.1 | 450 | Core |
| EL24_282 | 400316.25 | 2667087.50 | 549.26 | 186.8 | -47.5 | 384 | Core |
| ST24_031 | 397881.41 | 2667260.65 | 577.81 | 303.0 | 7.9 | 249 | Core |
| ST24_051 | 397881.13 | 2667260.07 | 577.71 | 287.0 | -2.6 | 315 | Core |
| ST24_052 | 397881.64 | 2667259.90 | 577.54 | 286.2 | -19.8 | 294 | Core |
| ST24_054 | 397881.19 | 2667260.54 | 577.75 | 293.4 | -0.4 | 328 | Core |
| ST24_059 | 397881.00 | 2667260.50 | 576.99 | 140.0 | -40.3 | 204 | Core |
| ST24_060 | 398331.72 | 2667366.41 | 559.43 | 305.2 | 40.4 | 240 | Core |
| ST24_062 | 398331.32 | 2667365.72 | 559.47 | 297.8 | 43.8 | 255 | Core |
| ST24_064 | 398331.96 | 2667366.93 | 559.33 | 316.0 | 38.8 | 195 | Core |
| ST24_065 | 398331.47 | 2667366.09 | 559.40 | 292.5 | 40.8 | 273 | Core |
| ST24_067 | 398331.22 | 2667365.81 | 559.08 | 285.6 | 33.8 | 294 | Core |
| ROS24_045 | 400151.46 | 2665597.09 | 555.16 | 197.5 | -1.0 | 633 | Core |
| ROS24_047 | 399811.70 | 2665304.41 | 950.59 | 182.3 | -16.3 | 855 | Core |
| ROS24_052 | 400150.99 | 2665597.17 | 555.44 | 207.2 | 4.4 | 531 | Core |
| ROS24_053 | 399811.22 | 2665303.91 | 950.83 | 184.7 | -7.6 | 723 | Core |
| SRE24_298 | 399695.22 | 2670822.92 | 842.52 | 162.3 | 27.2 | 606 | Core |
| SRE24_299 | 399693.84 | 2670824.09 | 842.03 | 197.6 | 25.6 | 531 | Core |
| RO24_475 | 401130.19 | 2668953.36 | 744.44 | 277.9 | 23.8 | 423 | Core |
| SJE24_479 | 401988.50 | 2672366.33 | 1044.36 | 200.8 | -27.6 | 1068 | Core |
| SJE24_480 | 401988.14 | 2672365.00 | 1044.10 | 200.3 | -17.3 | 1152 | Core |
| NB24_070 | 400702.87 | 2671037.78 | 1144.68 | 159.9 | 22.4 | 159 | Core |
| NB24_072 | 400701.90 | 2671037.72 | 1143.50 | 177.0 | 2.0 | 144 | Core |
| NB24_078 | 400704.97 | 2671037.87 | 1144.31 | 135.3 | 19.8 | 240 | Core |
| NB24_080 | 400719.96 | 2671050.99 | 1143.92 | 103.9 | 15.9 | 330 | Core |
| NB24_082 | 400720.55 | 2671050.84 | 1143.85 | 104.6 | 11.4 | 303 | Core |
Notes:
- San Dimas: All Collar coordinates are determined using total station equipment after hole completion with WGS84, Zone 13 (metres) as the reference system.
SOURCE: First Majestic Silver Corp.
Original Article: https://www.newsfilecorp.com/release/238178

















